Latest Post

Physics for Defence Warriors set 7 ( NDA / CDS / AFCAT )

  • Home
  • Physics for Defence Warriors set 7 ( NDA / CDS / AFCAT )

Physics for Defence Warriors set 7 ( NDA / CDS / AFCAT )

View Instructions
Remaining Time:
1 out of 15 questions
  • 1. The liquid/liquids used in the simple barometer is/are

    Question Status

    • Unattempted
    • Attempted
    Question Palette
    1
    2
    3
    4
    5
    6
    7
    8
    9
    10
    11
    12
    13
    14
    15
  • 2. Which one of the following pair is not correctly matched?

    Question Status

    • Unattempted
    • Attempted
    Question Palette
    1
    2
    3
    4
    5
    6
    7
    8
    9
    10
    11
    12
    13
    14
    15
  • 3. Which of the following is correctly matched?

    Question Status

    • Unattempted
    • Attempted
    Question Palette
    1
    2
    3
    4
    5
    6
    7
    8
    9
    10
    11
    12
    13
    14
    15
  • 4. Which one of the following is not correctly matched?

    Question Status

    • Unattempted
    • Attempted
    Question Palette
    1
    2
    3
    4
    5
    6
    7
    8
    9
    10
    11
    12
    13
    14
    15
  • 5. Which one of the following pair is not correctly matched?

    Question Status

    • Unattempted
    • Attempted
    Question Palette
    1
    2
    3
    4
    5
    6
    7
    8
    9
    10
    11
    12
    13
    14
    15
  • 6. Match the following.

    Question Status

    • Unattempted
    • Attempted
    Question Palette
    1
    2
    3
    4
    5
    6
    7
    8
    9
    10
    11
    12
    13
    14
    15
  • 7.Statics is related to which of the following?

    Question Status

    • Unattempted
    • Attempted
    Question Palette
    1
    2
    3
    4
    5
    6
    7
    8
    9
    10
    11
    12
    13
    14
    15
  • 8. Static science is associated with 

    Question Status

    • Unattempted
    • Attempted
    Question Palette
    1
    2
    3
    4
    5
    6
    7
    8
    9
    10
    11
    12
    13
    14
    15
  • 9. A vehicle covers half the distance with uniform speed and the other half with uniform speed . The average speed of the vehicle is

    Question Status

    • Unattempted
    • Attempted
    Question Palette
    1
    2
    3
    4
    5
    6
    7
    8
    9
    10
    11
    12
    13
    14
    15
  • 10 .Who is the first person to define speed?


    A. Galileo
    B. Newton
    C. Kepler
    D. Ptolemy
    E. None of the above/More than one of the above

    Question Status

    • Unattempted
    • Attempted
    Question Palette
    1
    2
    3
    4
    5
    6
    7
    8
    9
    10
    11
    12
    13
    14
    15
  • 11. What is the correct equation for finding the acceleration?

    Question Status

    • Unattempted
    • Attempted
    Question Palette
    1
    2
    3
    4
    5
    6
    7
    8
    9
    10
    11
    12
    13
    14
    15
  • 12. Two balls and are of 10 kg and 1 kg , respectively. They are dropped simultaneously from a height of 20 m . Which of the following is correct?

    Question Status

    • Unattempted
    • Attempted
    Question Palette
    1
    2
    3
    4
    5
    6
    7
    8
    9
    10
    11
    12
    13
    14
    15
  • 13. From the distance-time graphs of two motorists A and A, it can be seen that

    Question Status

    • Unattempted
    • Attempted
    Question Palette
    1
    2
    3
    4
    5
    6
    7
    8
    9
    10
    11
    12
    13
    14
    15
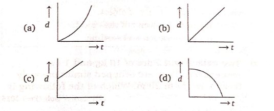
  • 14. The variation of displacement d with time d in the case of a particle falling freely under gravity from rest is correctly shown in the graph.

    Question Status

    • Unattempted
    • Attempted
    Question Palette
    1
    2
    3
    4
    5
    6
    7
    8
    9
    10
    11
    12
    13
    14
    15
  • 15. A smooth plane inclined at an angle with the horizontal as shown in the given figure. A body starts from rest and slides down on the inclined surface. The time taken by the body to reach the bottom is

    Question Status

    • Unattempted
    • Attempted
    Question Palette
    1
    2
    3
    4
    5
    6
    7
    8
    9
    10
    11
    12
    13
    14
    15