ABOUT US
CONTACT US
SUCCESS STORIES
0121 4057296
9927496737
9359228586
info@thetutors.in
Latest Post
Offline Batch Registration
Download App
Login
Online Test Series
NDA
NDA MATHS (Previous Year Paper)
NDA GAT (Previous Year Paper)
CDS
CDS ENGLISH (Previous Year Paper)
CDS GS (Previous Year Paper)
CDS MATHS (Previous Year Paper)
AFCAT
Notifications
Practice MCQ's
English
Geography
History
Polity
Economics
Science
Topic Wise Pyq's
NOTES
NCERT
Economics
Polity
History
Science
Geography
MATHS
Physics
Chemistry
Biology
Social Science
IMP LISTS & Facts
HISTORY LISTS
Geography Lists
GK Lists
AFCAT
Current Affairs
ALL MILITARY EXERCISE 2025
Defence Affairs Daily (DAD)
The Daily Drill (MCQ's Quiz)
Blogs
Our Videos
Courses
NDA COURSES
NDA Vijayanta : For 12th Appearing Students
NDA ADITYA :12th pass students
NDA Chakra : For 11th Appearing Students
CDS / AFCAT Course
AFCAT
CDS
Airforce / Navy
X Group (Only)
Y Group (Only)
Test Series
Result
Home
Result
6. MATHs Mock Test 6 for NDA
0
Questions answered correctly
0
Questions answered incorrect
10
Questions unattempted
You have scored
0 / 25
View Analysis
Next Quiz
1
A
A
B
B
C
C
D
D
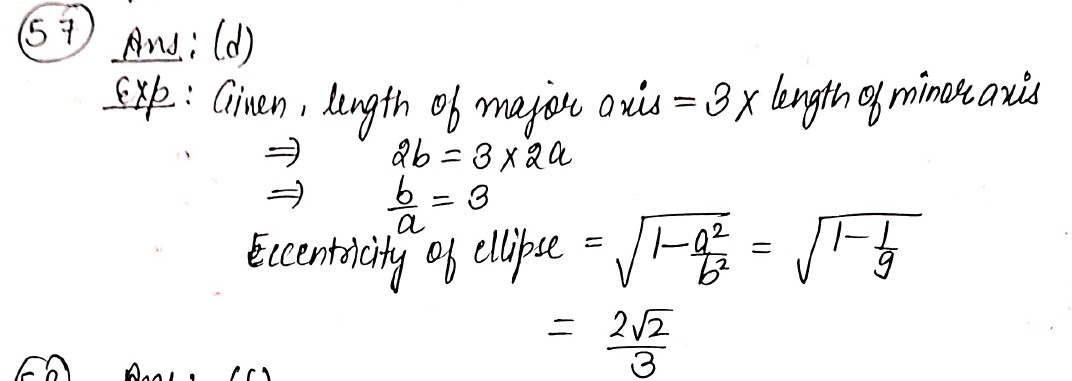
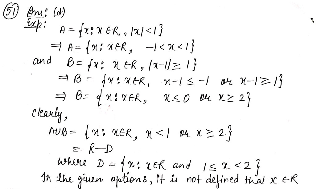
Explanation
2
A
A
B
B
C
C
D
D
Explanation
3
A
A
B
B
C
C
D
D
Explanation
4
A
A
B
B
C
C
D
D
Explanation
5
A
A
B
B
C
C
D
D
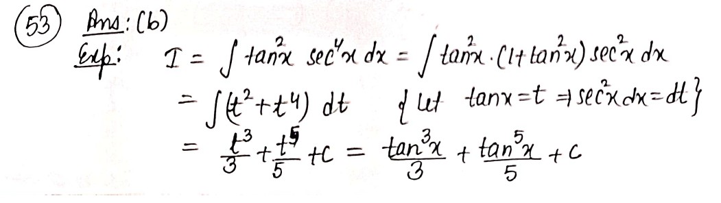
Explanation
6
A
A
B
B
C
C
D
D
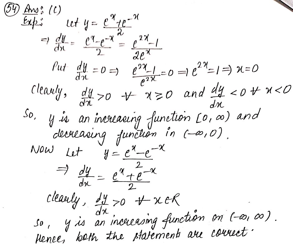
Explanation
7
A
A
B
B
C
C
D
D
Explanation
8
A
A
B
B
C
C
D
D
Explanation
9
A
A
B
B
C
C
D
D
Explanation
10
A
A
B
B
C
C
D
D
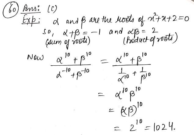
Explanation
X
© 2024 | The Tutors Academy | Website Conceptualised and Developed by
Promotion Paradise